Q&A Cable Carrier (CABLEVEYOR)
We have posted frequently asked questions from customers in Q&A format. Please click on the question to proceed to the answer.
Cable Carrier (CABLEVEYOR)
Words in Q&Aof

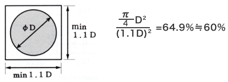
| Q1 | What is the concept (volume ratio) for the cable and hose storage area of Cable Carrier (CABLEVEYOR) Plastic Series? | |||||||||||||||||||||||||||||||||||||||||||||||||||||||||||||||||||||||||||||||||||||||||||||||||||||||||||||||||||||||||||||||||||||||||||||||||||||||||||||||||||||||||||||||||||||||
|---|---|---|---|---|---|---|---|---|---|---|---|---|---|---|---|---|---|---|---|---|---|---|---|---|---|---|---|---|---|---|---|---|---|---|---|---|---|---|---|---|---|---|---|---|---|---|---|---|---|---|---|---|---|---|---|---|---|---|---|---|---|---|---|---|---|---|---|---|---|---|---|---|---|---|---|---|---|---|---|---|---|---|---|---|---|---|---|---|---|---|---|---|---|---|---|---|---|---|---|---|---|---|---|---|---|---|---|---|---|---|---|---|---|---|---|---|---|---|---|---|---|---|---|---|---|---|---|---|---|---|---|---|---|---|---|---|---|---|---|---|---|---|---|---|---|---|---|---|---|---|---|---|---|---|---|---|---|---|---|---|---|---|---|---|---|---|---|---|---|---|---|---|---|---|---|---|---|---|---|---|---|---|---|---|
| A1 |
Install cables and hoses in a horizontal row, and install dividers if they have them. The storage volume ratio for cables and hoses should be 60% or less, but even if it is within 60%, stacking them in multiple layers may cause premature wear of the insulation or breakage, so please avoid this. For TKP, TKC, TKMK, TKMT, TKR, TKQ, and TKUA SeriesThe cable storage area is determined by checking the cross-sectional space based on the outer diameter and number of cables and hoses. If partition plates can be installed, the required number can be installed. 1) The gap between the outer diameter and inner width of the cable/hose must be at least 2 mm or 10% of the cable/hose diameter, whichever is larger. 2) Install cables and hoses in a single horizontal row. Stacking cables and hoses in multiple layers may cause the insulation to wear out or break. 3) Insert the cable or hose to a volume of 60% or less of the internal volume. (See the diagram below.) 4) The number of cables and hoses should be within the range that does not apply excessive force to the cables and hoses. 5) If the unit has dividers, install them. Decide the number of dividers so that one cable can fit through each hole, if possible. 6) Number of partitions 7) The partition plate is partially fed. The concept behind a 60% cable/hose storage volume ratio
Storing cables and hoses using partitionsIf multiple cables/hoses are stacked directly on top of each other and are all the same length, the wires will be crushed at the bend radius as shown in the diagram below (1). (Because they are all the same length, they cannot be routed outside.) To prevent this, use a partition as shown in the diagram below (2), and make the upper cables/hoses longer than the lower cables/hoses by the difference in bending radius to prevent the cables/hoses from rubbing against each other.
|
|||||||||||||||||||||||||||||||||||||||||||||||||||||||||||||||||||||||||||||||||||||||||||||||||||||||||||||||||||||||||||||||||||||||||||||||||||||||||||||||||||||||||||||||||||||||
| Q2 | What is the installation interval for the partition plates of Cable Carrier (CABLEVEYOR) Plastic Series? | |||||||||||||||||||||||||||||||||||||||||||||||||||||||||||||||||||||||||||||||||||||||||||||||||||||||||||||||||||||||||||||||||||||||||||||||||||||||||||||||||||||||||||||||||||||||
| A2 |
Please install it every two links. However, since it is structurally possible to install it on each link, if there is a strong resistance from the hose or other items and you are concerned about the partition plate coming off, please install it on each link. Back to Questions |
|||||||||||||||||||||||||||||||||||||||||||||||||||||||||||||||||||||||||||||||||||||||||||||||||||||||||||||||||||||||||||||||||||||||||||||||||||||||||||||||||||||||||||||||||||||||
| Q3 | What are travel length, free span, Leeway length, bending radius, and support roller? | |||||||||||||||||||||||||||||||||||||||||||||||||||||||||||||||||||||||||||||||||||||||||||||||||||||||||||||||||||||||||||||||||||||||||||||||||||||||||||||||||||||||||||||||||||||||
| A3 |
|
|||||||||||||||||||||||||||||||||||||||||||||||||||||||||||||||||||||||||||||||||||||||||||||||||||||||||||||||||||||||||||||||||||||||||||||||||||||||||||||||||||||||||||||||||||||||
| Q4 | What material is Cable Carrier (CABLEVEYOR) Plastic Series made of? | |||||||||||||||||||||||||||||||||||||||||||||||||||||||||||||||||||||||||||||||||||||||||||||||||||||||||||||||||||||||||||||||||||||||||||||||||||||||||||||||||||||||||||||||||||||||
| A4 |
The TKP, TKC, TKMK, TKMT, and TKR Series are all engineering plastics based on polyamide resin. TKP low friction and low wear specifications are based on polyacetal resin. For the TKQ type (formerly the TKE type), only the side bands are made of polypropylene. Back to Questions |
|||||||||||||||||||||||||||||||||||||||||||||||||||||||||||||||||||||||||||||||||||||||||||||||||||||||||||||||||||||||||||||||||||||||||||||||||||||||||||||||||||||||||||||||||||||||
| Q5 | What is the chemical resistance of Cable Carrier (CABLEVEYOR) Plastic Series? | |||||||||||||||||||||||||||||||||||||||||||||||||||||||||||||||||||||||||||||||||||||||||||||||||||||||||||||||||||||||||||||||||||||||||||||||||||||||||||||||||||||||||||||||||||||||
| A5 |
Cable Carrier (CABLEVEYOR) Plastic Series uses engineering plastic (engineering plastic) that has excellent chemical resistance. When selecting Cable Carrier (CABLEVEYOR), please check the table below to see if the material has sufficient chemical resistance to various solvents for the engineering plastics used in Cable Carrier (CABLEVEYOR) Plastic Series.
* Engineering plastic refers to the material used for the base chain of our cable carrier plastic series, and indicates the chemical resistance of the material. * Cable Carrier (CABLEVEYOR) Plastic Series generally consists of an engineering plastic body and steel fittings on both ends. Back to Questions |
|||||||||||||||||||||||||||||||||||||||||||||||||||||||||||||||||||||||||||||||||||||||||||||||||||||||||||||||||||||||||||||||||||||||||||||||||||||||||||||||||||||||||||||||||||||||
| Q6 | What is the flame retardancy of Cable Carrier (CABLEVEYOR) Plastic Series? | |||||||||||||||||||||||||||||||||||||||||||||||||||||||||||||||||||||||||||||||||||||||||||||||||||||||||||||||||||||||||||||||||||||||||||||||||||||||||||||||||||||||||||||||||||||||
| A6 |
The flame retardancy characteristics of our Cable Carrier (CABLEVEYOR) Plastic Series (TKP, TKR, TKUA, TKC, TKMK, TKMT *) are based on the UL standard (Underwriters Laboratories Standards), which is a flame resistance safety test for plastic products, and plastic materials equivalent to UL94HB standard are used. We can also manufacture flame retardant specifications equivalent to UL94V-0, so please contact us for details. *Excluding some sizes. Click here for the selection request sheet Back to Questions |
|||||||||||||||||||||||||||||||||||||||||||||||||||||||||||||||||||||||||||||||||||||||||||||||||||||||||||||||||||||||||||||||||||||||||||||||||||||||||||||||||||||||||||||||||||||||
| Q7 | Can Cable Carrier (CABLEVEYOR) be used outdoors? | |||||||||||||||||||||||||||||||||||||||||||||||||||||||||||||||||||||||||||||||||||||||||||||||||||||||||||||||||||||||||||||||||||||||||||||||||||||||||||||||||||||||||||||||||||||||
| A7 |
It is generally recommended for indoor use, but has also been used outdoors. |
|||||||||||||||||||||||||||||||||||||||||||||||||||||||||||||||||||||||||||||||||||||||||||||||||||||||||||||||||||||||||||||||||||||||||||||||||||||||||||||||||||||||||||||||||||||||
| Q8 | Can the moving end bracket be used on the Fixed end bracket end side and vice versa? | |||||||||||||||||||||||||||||||||||||||||||||||||||||||||||||||||||||||||||||||||||||||||||||||||||||||||||||||||||||||||||||||||||||||||||||||||||||||||||||||||||||||||||||||||||||||
| A8 |
Attach the moving end bracket to the moving end and Fixed end bracket to the fixed end as specified. However, TKP91H80, TKMK, and TKH250 can be used even if not specified. (Special-shaped products and Gliding arrangement specification products cannot be used.) Back to Questions |
|||||||||||||||||||||||||||||||||||||||||||||||||||||||||||||||||||||||||||||||||||||||||||||||||||||||||||||||||||||||||||||||||||||||||||||||||||||||||||||||||||||||||||||||||||||||
| Q9 | Are there any Cable Carrier (CABLEVEYOR) suitable for clean rooms? | |||||||||||||||||||||||||||||||||||||||||||||||||||||||||||||||||||||||||||||||||||||||||||||||||||||||||||||||||||||||||||||||||||||||||||||||||||||||||||||||||||||||||||||||||||||||
| A9 |
Tsubaki's lowest dust-generating "CLEANVEYOR," the "FLATVEYOR" self-standing flat cable system ideal for mass production equipment, the "FLATVEYOR ZP specification" that makes it easy to change or install cables later, and the "TKR Series" that is low in dust and noise due to bending caused by flexure. There is also the TKP-MW specification, the most versatile TKP Series, which uses a high-sliding engineering plastic material and contributes to improved protection and cleanliness for cables. Back to Questions |
|||||||||||||||||||||||||||||||||||||||||||||||||||||||||||||||||||||||||||||||||||||||||||||||||||||||||||||||||||||||||||||||||||||||||||||||||||||||||||||||||||||||||||||||||||||||
| Q10 | Can I purchase Cable Carrier (CABLEVEYOR) parts such as pins? | |||||||||||||||||||||||||||||||||||||||||||||||||||||||||||||||||||||||||||||||||||||||||||||||||||||||||||||||||||||||||||||||||||||||||||||||||||||||||||||||||||||||||||||||||||||||
| A10 |
Many parts, such as TKP and TKC arms, TK-type pins and retaining rings, can be purchased individually. |
|||||||||||||||||||||||||||||||||||||||||||||||||||||||||||||||||||||||||||||||||||||||||||||||||||||||||||||||||||||||||||||||||||||||||||||||||||||||||||||||||||||||||||||||||||||||
| Q11 | What is the difference between the old model TKP0450 and TKP45H25? | |||||||||||||||||||||||||||||||||||||||||||||||||||||||||||||||||||||||||||||||||||||||||||||||||||||||||||||||||||||||||||||||||||||||||||||||||||||||||||||||||||||||||||||||||||||||
| A11 |
The old model TKP0450 has an old model and a new model. Sales of the old model TKP0450 were discontinued at the end of September 2002.
TKP0450 new model (current model number TKP45H25) features, function and performance comparisonFor more details, please click here (PDF) Compatibility of the new TKP0450 model (current model number TKP45H25)Important points to note when migrating from the old model to the new model (current model number TKP45H25) 1. Old model (open/close model) ⇒ New model (current model number TKP45H25) Please check the comparison table below for compatibility of the main unit and hardware. When replacing, please pay attention to the following points.
2. Old model (integrated model) ⇒ New model (current model number TKP45H25) Please check the comparison table below for compatibility of the main unit and hardware. Differences between new and old dimensions The dimensions of some model numbers are slightly different. W58, W78, and W103 have an outer width 4mm larger than the current model, so care must be taken when replacing. 3. New and old model size comparison table
◎Compatible (internal dimensions are compatible with dimensions equal to or greater than the previous specifications, external dimensions are compatible with dimensions equal to or less than the previous specifications) 〇 Compatible models require caution (although the dimensions are roughly the same, the external dimensions are slightly larger, so please be careful of interference with peripheral devices) △Please be careful not to interfere with peripheral devices when installing as the dimensions are significantly different. ×Not compatible |
|||||||||||||||||||||||||||||||||||||||||||||||||||||||||||||||||||||||||||||||||||||||||||||||||||||||||||||||||||||||||||||||||||||||||||||||||||||||||||||||||||||||||||||||||||||||
| Q12 | Does Cable Carrier (CABLEVEYOR) comply with the RoHS Directive? | |||||||||||||||||||||||||||||||||||||||||||||||||||||||||||||||||||||||||||||||||||||||||||||||||||||||||||||||||||||||||||||||||||||||||||||||||||||||||||||||||||||||||||||||||||||||
| A12 |
All of our Cable Carrier (CABLEVEYOR) (excluding some accessories) comply with the RoHS Directive. Back to Questions |
|||||||||||||||||||||||||||||||||||||||||||||||||||||||||||||||||||||||||||||||||||||||||||||||||||||||||||||||||||||||||||||||||||||||||||||||||||||||||||||||||||||||||||||||||||||||
| Q13 | What model numbers have had their specifications changed so far? | |||||||||||||||||||||||||||||||||||||||||||||||||||||||||||||||||||||||||||||||||||||||||||||||||||||||||||||||||||||||||||||||||||||||||||||||||||||||||||||||||||||||||||||||||||||||
| A13 |
■ List of specification changes
*1 Depending on the time period, the product may be of older specifications.
*1 Depending on the time period, the product may be of older specifications.
*1 Depending on the time period, the product may be of older specifications.
*1 Depending on the time period, the product may be of older specifications. Back to Questions |
|||||||||||||||||||||||||||||||||||||||||||||||||||||||||||||||||||||||||||||||||||||||||||||||||||||||||||||||||||||||||||||||||||||||||||||||||||||||||||||||||||||||||||||||||||||||
| Q14 | Do you sell TKP0320, TKP0625, and TKP0625H, which are not listed in the catalog? | |||||||||||||||||||||||||||||||||||||||||||||||||||||||||||||||||||||||||||||||||||||||||||||||||||||||||||||||||||||||||||||||||||||||||||||||||||||||||||||||||||||||||||||||||||||||
| A14 |
Sales ended in 2015. Click here for a list of model numbers and dimensions for alternative products Back to Questions |
|||||||||||||||||||||||||||||||||||||||||||||||||||||||||||||||||||||||||||||||||||||||||||||||||||||||||||||||||||||||||||||||||||||||||||||||||||||||||||||||||||||||||||||||||||||||
| Q15 | Can the Cable Carrier (CABLEVEYOR) be cut and connected? | |||||||||||||||||||||||||||||||||||||||||||||||||||||||||||||||||||||||||||||||||||||||||||||||||||||||||||||||||||||||||||||||||||||||||||||||||||||||||||||||||||||||||||||||||||||||
| A15 |
All Cable Carrier (CABLEVEYOR) Plastic Series can be cut and spliced using a flathead screwdriver and plastic hammer. For details, please refer to Instruction Manuals. Back to Questions |
|||||||||||||||||||||||||||||||||||||||||||||||||||||||||||||||||||||||||||||||||||||||||||||||||||||||||||||||||||||||||||||||||||||||||||||||||||||||||||||||||||||||||||||||||||||||
| Q16 | What is the difference between installation height (H') and total height (H)? | |||||||||||||||||||||||||||||||||||||||||||||||||||||||||||||||||||||||||||||||||||||||||||||||||||||||||||||||||||||||||||||||||||||||||||||||||||||||||||||||||||||||||||||||||||||||
| A16 |
Cable Carrier (CABLEVEYOR) has a slight bulge to compensate for deflection caused by the weight of the main body and cable, so please install it at the installation height H' rather than the total height H of Cable Carrier (CABLEVEYOR). |
|||||||||||||||||||||||||||||||||||||||||||||||||||||||||||||||||||||||||||||||||||||||||||||||||||||||||||||||||||||||||||||||||||||||||||||||||||||||||||||||||||||||||||||||||||||||
| Q17 | What effect does it have if you install it at total height instead of installation height? | |||||||||||||||||||||||||||||||||||||||||||||||||||||||||||||||||||||||||||||||||||||||||||||||||||||||||||||||||||||||||||||||||||||||||||||||||||||||||||||||||||||||||||||||||||||||
| A17 |
If you forcefully press the bulge to operate it, excessive force will be applied near the end of the movement. |
|||||||||||||||||||||||||||||||||||||||||||||||||||||||||||||||||||||||||||||||||||||||||||||||||||||||||||||||||||||||||||||||||||||||||||||||||||||||||||||||||||||||||||||||||||||||
| Q18 | What is the required space? | |||||||||||||||||||||||||||||||||||||||||||||||||||||||||||||||||||||||||||||||||||||||||||||||||||||||||||||||||||||||||||||||||||||||||||||||||||||||||||||||||||||||||||||||||||||||
| A18 |
The free span section may swell or sag depending on the conditions of use and the atmosphere. Please ensure that you have sufficient space. (Required space varies depending on the model.) Click here for details on required space (S dimension) Back to Questions |
|||||||||||||||||||||||||||||||||||||||||||||||||||||||||||||||||||||||||||||||||||||||||||||||||||||||||||||||||||||||||||||||||||||||||||||||||||||||||||||||||||||||||||||||||||||||
| Q19 | What should I pay attention to when using Gliding arrangement specifications? | |||||||||||||||||||||||||||||||||||||||||||||||||||||||||||||||||||||||||||||||||||||||||||||||||||||||||||||||||||||||||||||||||||||||||||||||||||||||||||||||||||||||||||||||||||||||
| A19 |
For details, please refer to technical data "Handling Cable Carrier (CABLEVEYOR)- Section: Precautions when Installing Gliding arrangement Rails." Back to Questions |
|||||||||||||||||||||||||||||||||||||||||||||||||||||||||||||||||||||||||||||||||||||||||||||||||||||||||||||||||||||||||||||||||||||||||||||||||||||||||||||||||||||||||||||||||||||||
| Q20 | What packaging format will the cable carrier be in if I order Cable Carrier (CABLEVEYOR) body and accessories (mounting brackets, dividers, etc.) at the same time? | |||||||||||||||||||||||||||||||||||||||||||||||||||||||||||||||||||||||||||||||||||||||||||||||||||||||||||||||||||||||||||||||||||||||||||||||||||||||||||||||||||||||||||||||||||||||
| A20 |
The main body and accessories such as the moving end, fixed end, and partition plate are packed and shipped as one set in the same box. Order example TKP45H25-30W38R50+20L-FOA-MOA x 6H (20L + Fixed end bracket FOA + moving end bracket MOA x 6) TKP45H25-ST x 60K (60 vertical dividers)
|
|||||||||||||||||||||||||||||||||||||||||||||||||||||||||||||||||||||||||||||||||||||||||||||||||||||||||||||||||||||||||||||||||||||||||||||||||||||||||||||||||||||||||||||||||||||||
| Q21 | Can CLEANVEYOR and FLATVEYOR be used in multiple stages? | |||||||||||||||||||||||||||||||||||||||||||||||||||||||||||||||||||||||||||||||||||||||||||||||||||||||||||||||||||||||||||||||||||||||||||||||||||||||||||||||||||||||||||||||||||||||
| A21 |
CLEANVEYOR can be stacked up to six levels. Stacking FLATVEYOR is not recommended, as products may slide against each other, causing dust to be generated. Back to Questions |
|||||||||||||||||||||||||||||||||||||||||||||||||||||||||||||||||||||||||||||||||||||||||||||||||||||||||||||||||||||||||||||||||||||||||||||||||||||||||||||||||||||||||||||||||||||||
| Q22 | Can FLATVEYOR ZP specification be used in multiple stages? | |||||||||||||||||||||||||||||||||||||||||||||||||||||||||||||||||||||||||||||||||||||||||||||||||||||||||||||||||||||||||||||||||||||||||||||||||||||||||||||||||||||||||||||||||||||||
| A22 |
It is possible under certain conditions. However, it is not recommended in clean environments as the products will slide against each other, which can cause dust to be generated. Back to Questions |
|||||||||||||||||||||||||||||||||||||||||||||||||||||||||||||||||||||||||||||||||||||||||||||||||||||||||||||||||||||||||||||||||||||||||||||||||||||||||||||||||||||||||||||||||||||||
| Q23 | Can I use FLATVEYOR ZP specification bracket on FLATVEYOR? | |||||||||||||||||||||||||||||||||||||||||||||||||||||||||||||||||||||||||||||||||||||||||||||||||||||||||||||||||||||||||||||||||||||||||||||||||||||||||||||||||||||||||||||||||||||||
| A23 |
Yes, it is possible. L-blocks can be used to mount FLATVEYOR carrier. Back to Questions |
|||||||||||||||||||||||||||||||||||||||||||||||||||||||||||||||||||||||||||||||||||||||||||||||||||||||||||||||||||||||||||||||||||||||||||||||||||||||||||||||||||||||||||||||||||||||
| Q24 | Is it okay to install it lower than the installation height (H') stated in the catalog or quotation drawing? | |||||||||||||||||||||||||||||||||||||||||||||||||||||||||||||||||||||||||||||||||||||||||||||||||||||||||||||||||||||||||||||||||||||||||||||||||||||||||||||||||||||||||||||||||||||||
| A24 |
Please install within the recommended installation height. If installed lower than the recommended installation height, expansion will be suppressed and there is a risk of premature breakage. Back to Questions |
|||||||||||||||||||||||||||||||||||||||||||||||||||||||||||||||||||||||||||||||||||||||||||||||||||||||||||||||||||||||||||||||||||||||||||||||||||||||||||||||||||||||||||||||||||||||
| Q25 | I cannot secure the required space (width) (height) for FLATVEYOR ZP specification. Can I use it? | |||||||||||||||||||||||||||||||||||||||||||||||||||||||||||||||||||||||||||||||||||||||||||||||||||||||||||||||||||||||||||||||||||||||||||||||||||||||||||||||||||||||||||||||||||||||
| A25 |
Please inquire as it may be possible. The required space (width) and (height) are determined taking into consideration the following factors: [Required space (width)] Due to deformation of the opening and closing tube, the bent section may expand in the width direction (approximately 5 mm per opening and closing tube). [Required space (height)] Due to the repulsive force of the cable and tube, the bent section may be higher than the installation height. Back to Questions |
|||||||||||||||||||||||||||||||||||||||||||||||||||||||||||||||||||||||||||||||||||||||||||||||||||||||||||||||||||||||||||||||||||||||||||||||||||||||||||||||||||||||||||||||||||||||
| Q26 | How do I request CLEANVEYOR selection? | |||||||||||||||||||||||||||||||||||||||||||||||||||||||||||||||||||||||||||||||||||||||||||||||||||||||||||||||||||||||||||||||||||||||||||||||||||||||||||||||||||||||||||||||||||||||
| A26 |
Please fill in the conditions of use on the selection request sheet and contact us. Click here for the selection request sheet Back to Questions |
|||||||||||||||||||||||||||||||||||||||||||||||||||||||||||||||||||||||||||||||||||||||||||||||||||||||||||||||||||||||||||||||||||||||||||||||||||||||||||||||||||||||||||||||||||||||
| Q27 | Regarding FLATVEYOR ZP specification, can the amount of support material be increased or travel length be extended by increasing the number of support members? | |||||||||||||||||||||||||||||||||||||||||||||||||||||||||||||||||||||||||||||||||||||||||||||||||||||||||||||||||||||||||||||||||||||||||||||||||||||||||||||||||||||||||||||||||||||||
| A27 |
When adopting a new product, it may be possible to increase the number of supports and extend the stroke beyond the catalog values depending on the usage conditions such as the amount of support material and acceleration. For details, please fill in the usage conditions on the selection request sheet and contact us. Click here for the selection request sheet Back to Questions |
|||||||||||||||||||||||||||||||||||||||||||||||||||||||||||||||||||||||||||||||||||||||||||||||||||||||||||||||||||||||||||||||||||||||||||||||||||||||||||||||||||||||||||||||||||||||
| Q28 | If multiple supports are stored in the open/close tube of FLATVEYOR ZP specification, will the supports slide against each other or will Wear debris fly? | |||||||||||||||||||||||||||||||||||||||||||||||||||||||||||||||||||||||||||||||||||||||||||||||||||||||||||||||||||||||||||||||||||||||||||||||||||||||||||||||||||||||||||||||||||||||
| A28 |
Although sliding does occur, similar tests were conducted in-house and no breakage due to sliding was confirmed. FLATVEYOR ZP specification recommends storing one cable or tube per open/close tube, but standards have been established for storing multiple tubes, taking into consideration convenience and practical usage situations. For details, please refer to page 10 of the Clean Series catalog. Back to Questions |
|||||||||||||||||||||||||||||||||||||||||||||||||||||||||||||||||||||||||||||||||||||||||||||||||||||||||||||||||||||||||||||||||||||||||||||||||||||||||||||||||||||||||||||||||||||||
| Q29 | Can the brackets for FLATVEYOR ZP be treated with anodizing or other surface treatments? | |||||||||||||||||||||||||||||||||||||||||||||||||||||||||||||||||||||||||||||||||||||||||||||||||||||||||||||||||||||||||||||||||||||||||||||||||||||||||||||||||||||||||||||||||||||||
| A29 |
Yes, it is possible. However, since the plate and plate fixing bolts are made of stainless steel, we can also provide special surface treatments such as anodizing for the L-block only. There are some surface treatments that we cannot provide, so please contact us for details. Back to Questions |
|||||||||||||||||||||||||||||||||||||||||||||||||||||||||||||||||||||||||||||||||||||||||||||||||||||||||||||||||||||||||||||||||||||||||||||||||||||||||||||||||||||||||||||||||||||||
| Q30 | Regarding FLATVEYOR ZP specifications, if a spare opening and closing tube is attached in anticipation of adding a support, can it be used empty? | |||||||||||||||||||||||||||||||||||||||||||||||||||||||||||||||||||||||||||||||||||||||||||||||||||||||||||||||||||||||||||||||||||||||||||||||||||||||||||||||||||||||||||||||||||||||
| A30 |
There will be no problem if you use it within the conditions shown in Allowable load graph. Back to Questions |
|||||||||||||||||||||||||||||||||||||||||||||||||||||||||||||||||||||||||||||||||||||||||||||||||||||||||||||||||||||||||||||||||||||||||||||||||||||||||||||||||||||||||||||||||||||||
| Q31 | Is it possible to request the installation of cable and tube connectors for CLEANVEYOR and FLATVEYOR? | |||||||||||||||||||||||||||||||||||||||||||||||||||||||||||||||||||||||||||||||||||||||||||||||||||||||||||||||||||||||||||||||||||||||||||||||||||||||||||||||||||||||||||||||||||||||
| A31 |
Yes, it is. Please attach a harness drawing when submitting your inquiry form. Even if you provide a cable with connectors on both ends, it cannot be installed in CLEANVEYOR. Back to Questions |
|||||||||||||||||||||||||||||||||||||||||||||||||||||||||||||||||||||||||||||||||||||||||||||||||||||||||||||||||||||||||||||||||||||||||||||||||||||||||||||||||||||||||||||||||||||||

